Skip to main content

Honic & LMU publish landmark German RWD paper in Nature Communications

Research detects significant decrease in vitamin-D levels during the pandemic, and serves as a methodological reference point for further German RWD research

Image
Honic & LMU publication in Nature Communications

Fig. 1: Workflow for data collection and analysis.

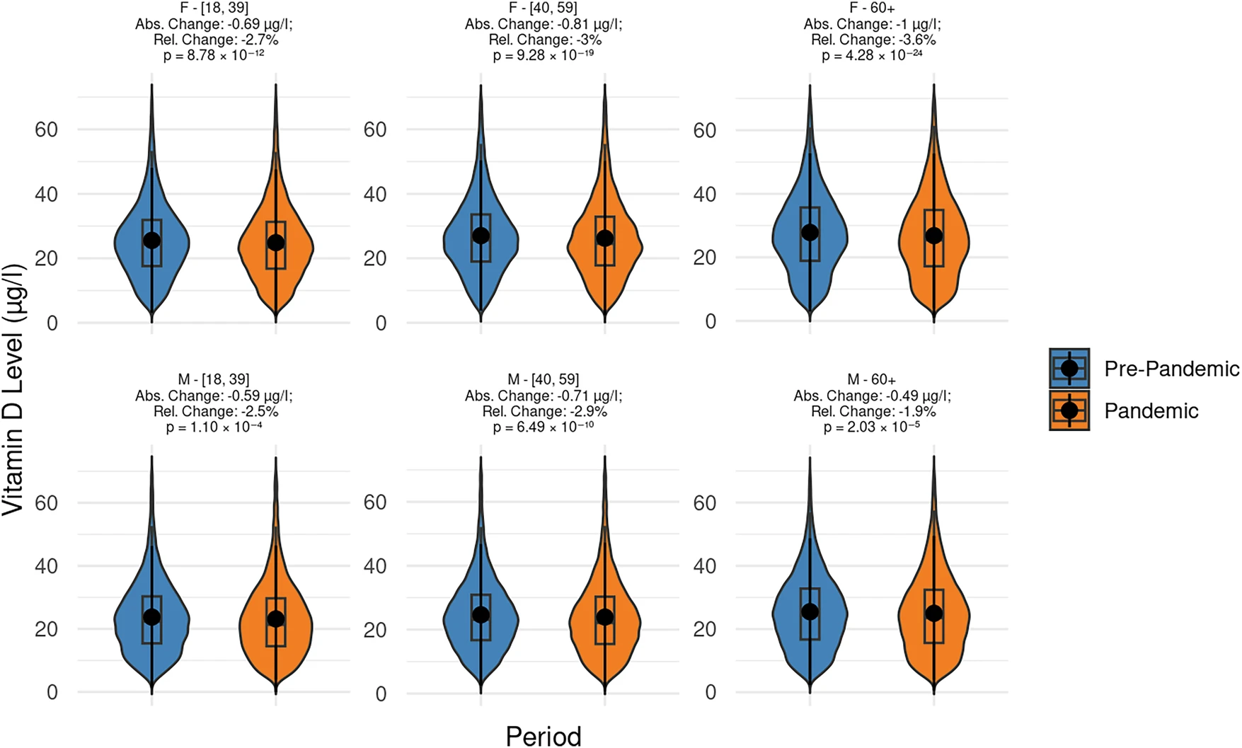
Nature Communications has published Honic’s first ever research project on our own data, led by Lea Skapetze and Dr. Anna Rubinski, greatly supported by LMU profs Eva Grill, Stefan Feuerriegel, Daniela Koller and Andreas Zwergal. The team analyzed vitamin D-levels before and during the COVID pandemic. Mean vitamin D levels decreased significantly from 26.7 µg/l pre-pandemic to 26.0 µg/l during the pandemic (p-value < 0.001), with a corresponding increase in deficiency rates from 31.3% to 35.2% (p-value < 0.001). Across all statistical approaches, the decline in mean levels and the increase in deficiency rates were particularly pronounced among elderly women.  

While medical research in Germany was mainly focused on clinical and claims data so far, this publication can serve as a great reference point for any further research with German real-world-data (RWD). Special emphasis was made in the paper on the methodological design of RWD research and of using the Honic research platform. 

Research can now be run with all kinds of lab values and other outpatient care data - before, during and after the pandemic or any other event in the past up to 10 years. Honic’s data ecosystem soon comprises e.g. lab data from more than 40 million Germans and continuously expands in various data verticals, such as oncology, outpatient care and GLP-1 data. 

If you are researching on health and care outcomes in Germany and want to explore the largest German outpatient RWD ecosystem, reach out to Honic

Image
Fig. 3: Reduction in mean vitamin D levels during the COVID-19 pandemic across age and gender groups.

Fig. 3: Reduction in mean vitamin D levels during the COVID-19 pandemic across age and gender groups.